
松岡
2024年度の生保数理の解答速報です。

問題については、日本アクチュアリー会のサイトから引用させていただいております。
https://www.actuaries.jp/examin/2024exam/20241213/2024-B-1213.pdf
※本解答速報は、試験問題に対する参考解答を提供するものであり、公式解答ではありません。正確な解答は、日本アクチュアリー会が発表する公式情報をご確認ください。
本情報の作成には細心の注意を払っておりますが、誤りが含まれる可能性があります。本速報を利用することで生じるいかなる結果についても、当方は責任を負いかねます。
間違えている箇所がございましたら、コメントでご教示いただけますと幸いです。
とある方に作成のご協力をいただきました。誠にありがとうございました!(匿名希望だったので、名前は公表いたしません。)
問題1
解答例
問題1ー(1)
問題
解答例
問題1-(2)
問題
解答例
問題1-(3)
問題
解答例
問題1-(4)
問題
解答例
問題1-(5)
問題
解答例
問題1-(6)
問題
解答例
問題2
解答例
問題2-(1)
問題
解答例
問題2-(2)
問題
解答例
問題2-(3)
問題
解答例
問題2-(4)
問題
解答例
問題2-(5)
問題
解答例
問題2-(6)
問題
解答例
問題2-(7)
問題
解答例
問題2-(8)
問題
解答例
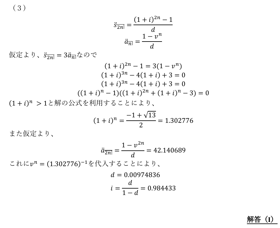
問題3
問題
解答例
問題4
問題
解答例
一言
今年の生保数理はかなり過去問と似たような問題が多く、比較的簡単な年だった印象です。
過去問を中心に勉強していた方は、よい手ごたえだったのではないでしょうか。
今回うまくいかなかったなという人は、一息ついたら、改めて勉強をしましょう。
もし、「自分で勉強を継続するのが苦手」「たくさん質問をしたい」「複数科目に一気に受かりたい」という人は、アクチュアリー育成塾の試験対策を覗いてみてください。弊塾では、正会員によるマンツーマン指導を通して、効率的な学習のサポートを行っていますので、合格に最短・最速で近づくことができます。
来年の受験に向けて話を聞いてみたいというだけでも構いませんので、お気軽に無料相談にお越しください。(2次試験生保コース・年金コースも開講しております。)










































コメント