
2025年度の年金数理の解答速報です。

問題については、日本アクチュアリー会のサイトから引用させていただいております。
2025-D-1212.pdf
※本解答速報は、試験問題に対する参考解答を提供するものであり、公式解答ではありません。正確な解答は、日本アクチュアリー会が発表する公式情報をご確認ください。
本情報の作成には細心の注意を払っておりますが、誤りが含まれる可能性があります。本速報を利用することで生じるいかなる結果についても、当方は責任を負いかねます。
間違えている箇所がございましたら、以下のフォームよりご連絡ください。
<解答速報の修正・誤植のご指摘はこちら>
https://docs.google.com/forms/d/e/1FAIpQLSfMHRNv04jQCeCpwKwtYm0k6e1bsNb23Hw7X4GHggitz-0xtg/viewform?usp=sharing&ouid=105148279218788588129
ネッシー様に作成のご協力をいただきました。誠にありがとうございました!
1ー(1)
問題
解答例
修正(1/3):解答を一部修正しました。
1-(2)
問題
解答例
1-(3)
問題
解答例
1-(4)
問題
解答例
1-(5)
問題
解答例
1-(6)
問題
解答例
1-(7)
問題
解答例
1-(8)
問題
解答例
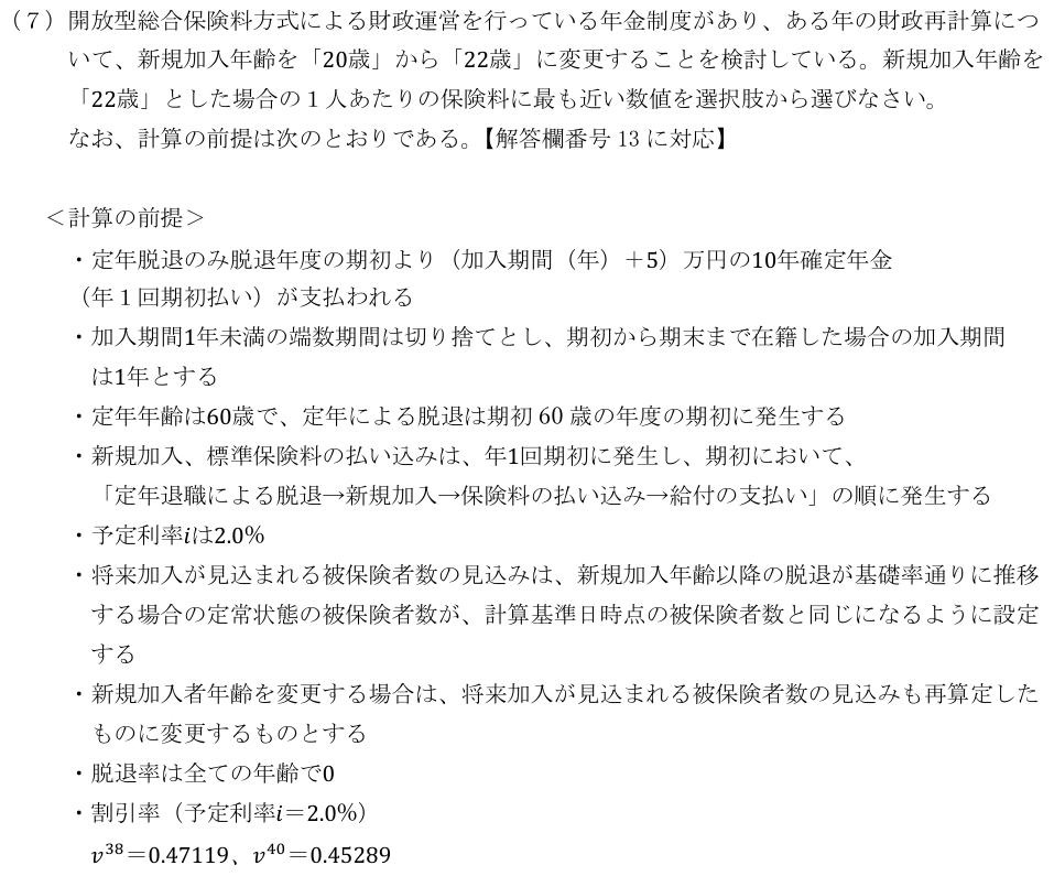
2-(1)
問題
解答例
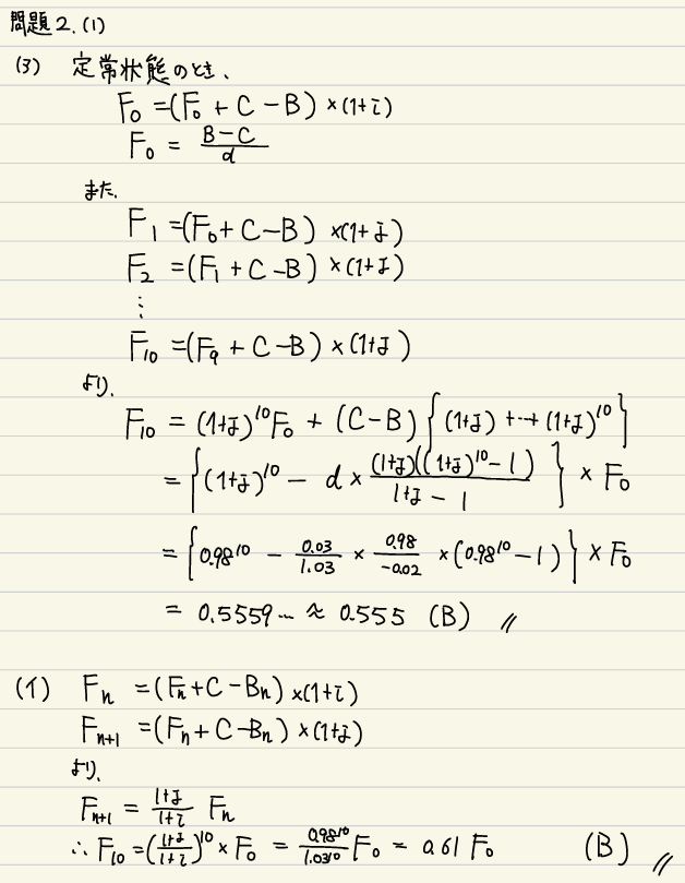
2-(2)
問題
解答例
修正(1/7):解答を一部修正しました。
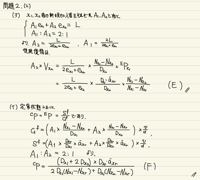
2-(3)
問題
解答例
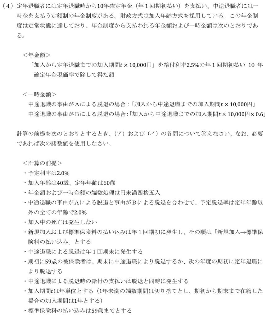
2-(4)
問題
解答例
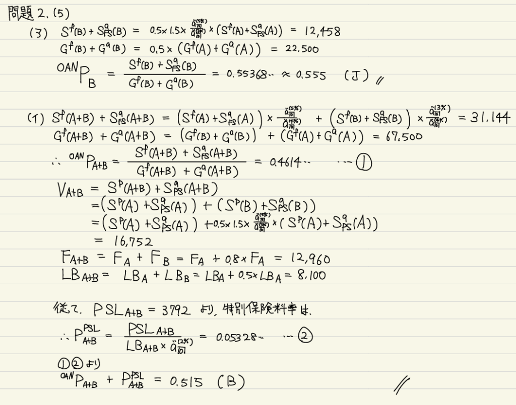
2-(5)
問題
解答例
3-(1)
問題
解答例
3-(2)
問題
解答例
3-(3)
問題
解答例
一言
講評:2024年度は急激な易化傾向であったため、今年度は難化することが予想されたが、急激な難化とはならず、最終的には平年よりもやや優しい程度の難易度となった。
全体的に典型問題・過去問頻出問題からの出題が多かったものの、問題2.(5)や問題3.(1)の財政計算のように、膨大な計算をする問題も多くみられた。必要な情報を表にまとめて処理をする等、冷静に計算過程を整理する力が求められる。
今回うまくいかなかったなという人は、一息ついたら、改めて勉強をしましょう。
もし、「自分で勉強を継続するのが苦手」「たくさん質問をしたい」「複数科目に一気に受かりたい」という人は、アクチュアリー育成塾の試験対策を覗いてみてください。弊塾では、正会員によるマンツーマン指導を通して、効率的な学習のサポートを行っていますので、合格に最短・最速で近づくことができます。
来年の受験に向けて話を聞いてみたいというだけでも構いませんので、お気軽に無料相談にお越しください。





















































コメント