
2025年度の損保数理の解答速報です。

問題については、日本アクチュアリー会のサイトから引用させていただいております。
2025-C-1212.pdf
※本解答速報は、試験問題に対する参考解答を提供するものであり、公式解答ではありません。正確な解答は、日本アクチュアリー会が発表する公式情報をご確認ください。
本情報の作成には細心の注意を払っておりますが、誤りが含まれる可能性があります。本速報を利用することで生じるいかなる結果についても、当方は責任を負いかねます。
間違えている箇所がございましたら、以下のフォームよりご連絡ください。
<解答速報の修正・誤植のご指摘はこちら>
https://docs.google.com/forms/d/e/1FAIpQLSfMHRNv04jQCeCpwKwtYm0k6e1bsNb23Hw7X4GHggitz-0xtg/viewform?usp=sharing&ouid=105148279218788588129
ポヌ様に作成のご協力をいただきました。誠にありがとうございました!
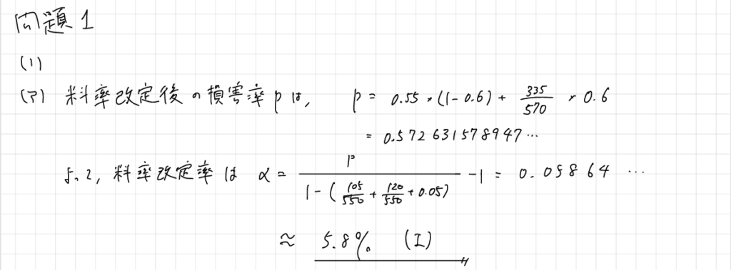
問題1ー(1)
問題
解答例
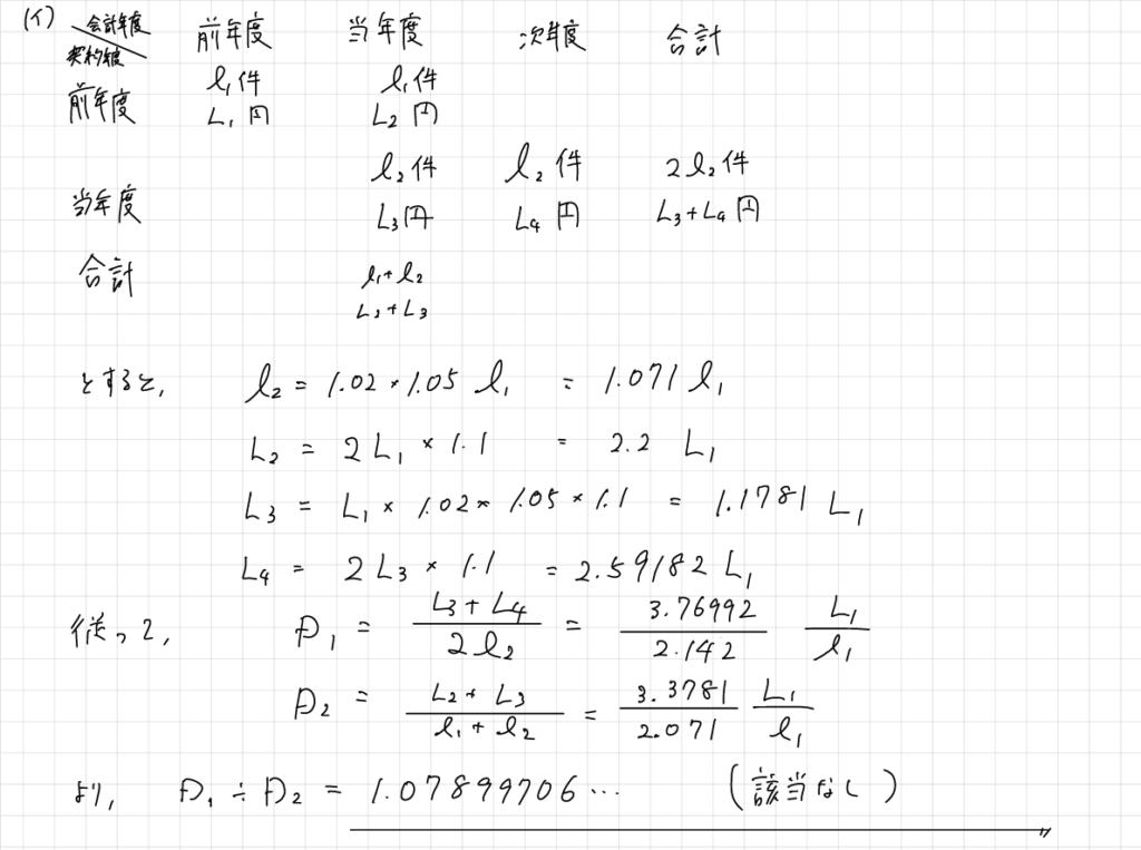
問題1-(2)
問題
解答例
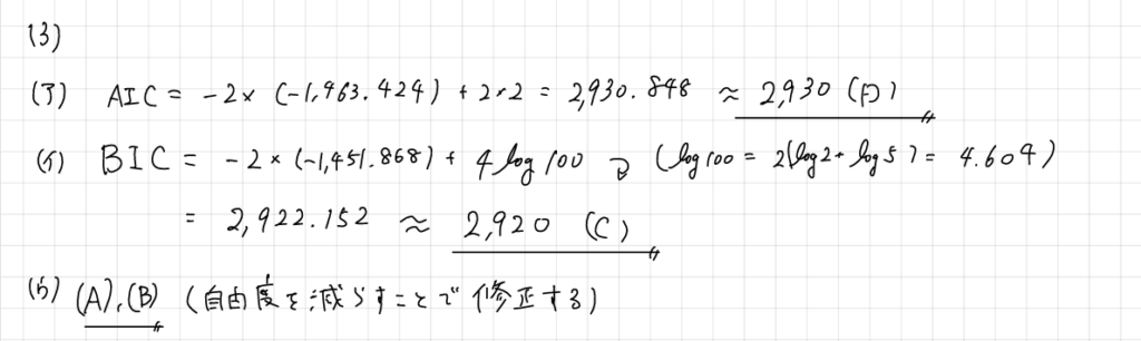
問題1-(3)
問題
解答例
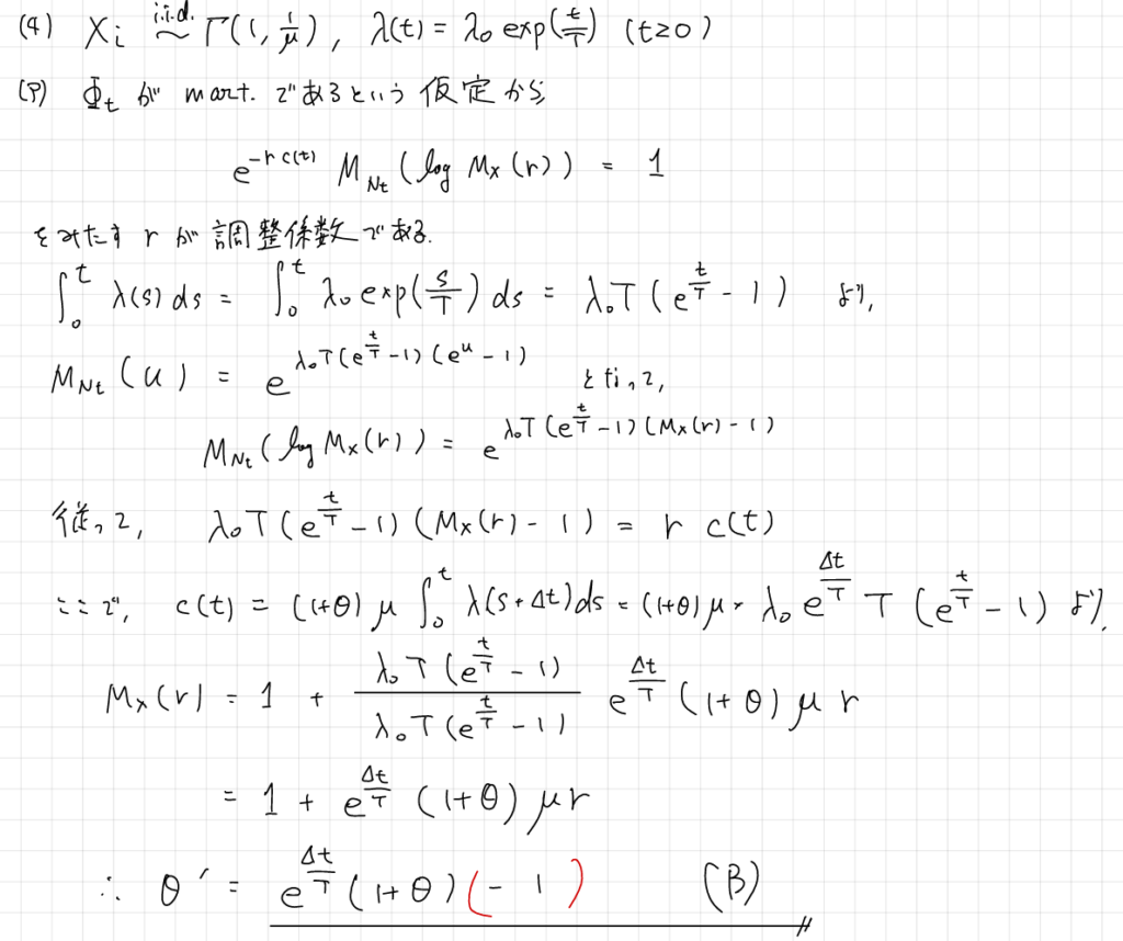
問題1-(4)
問題
解答例
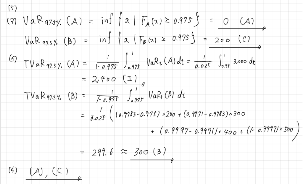
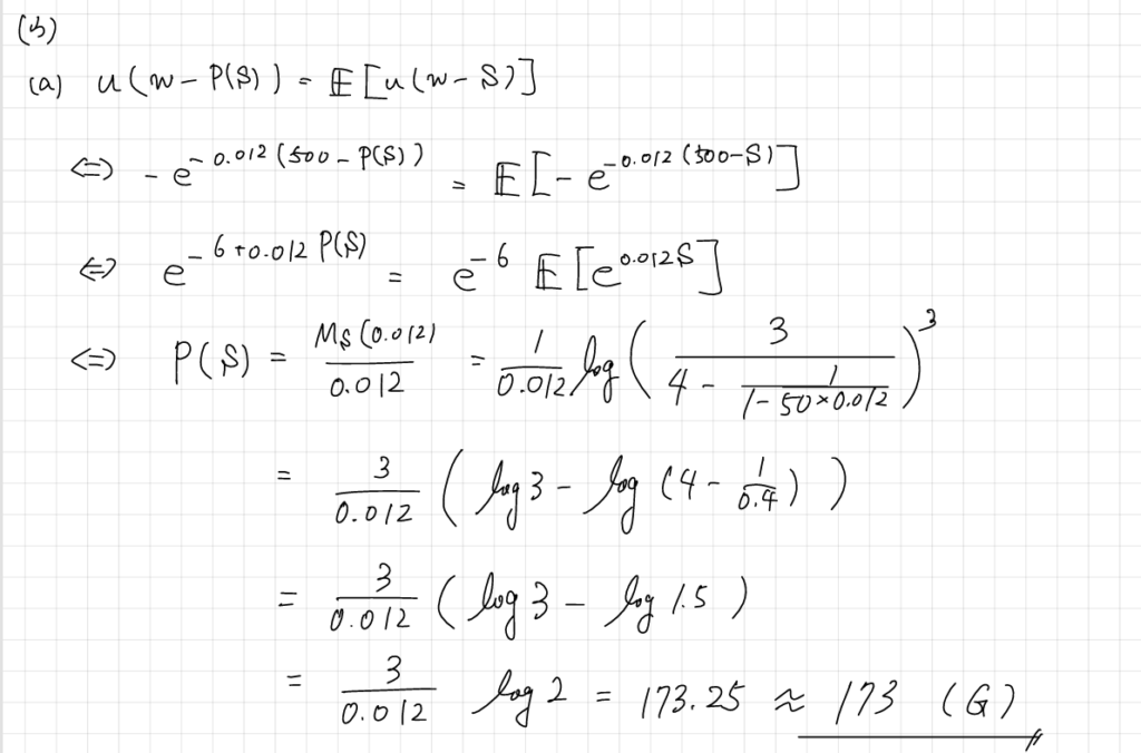
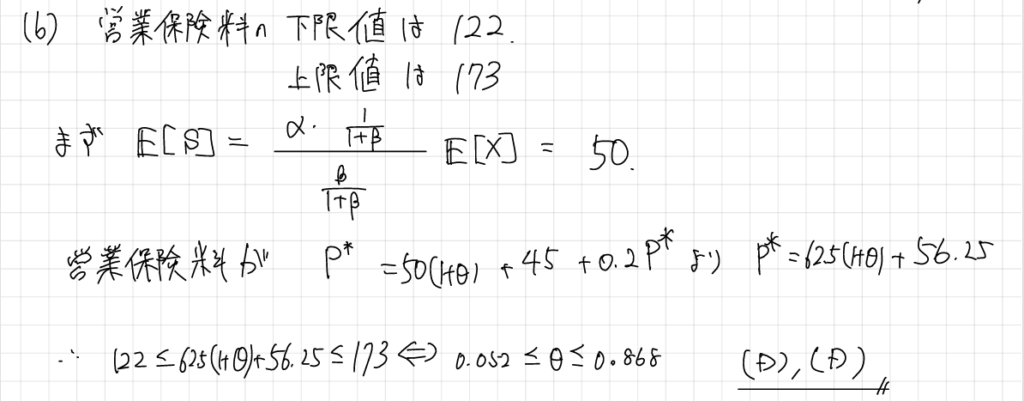
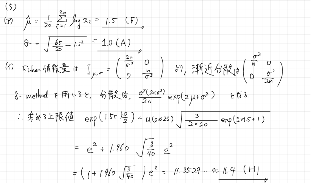
問題1-(5)
問題
解答例
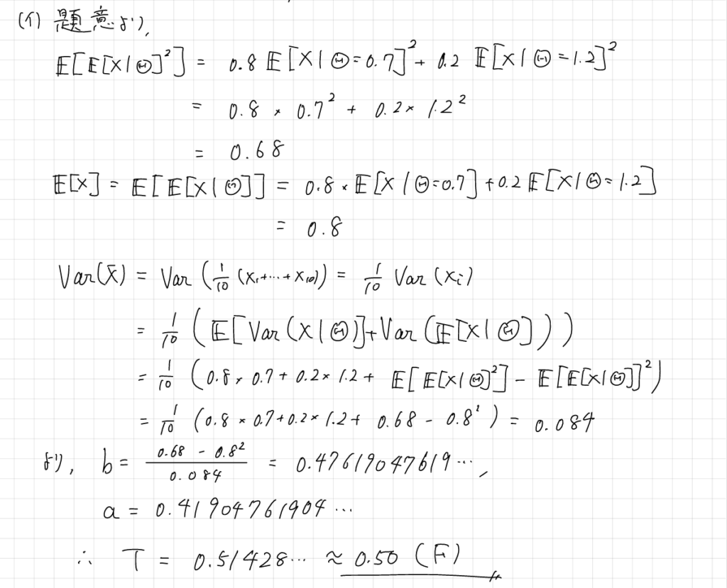
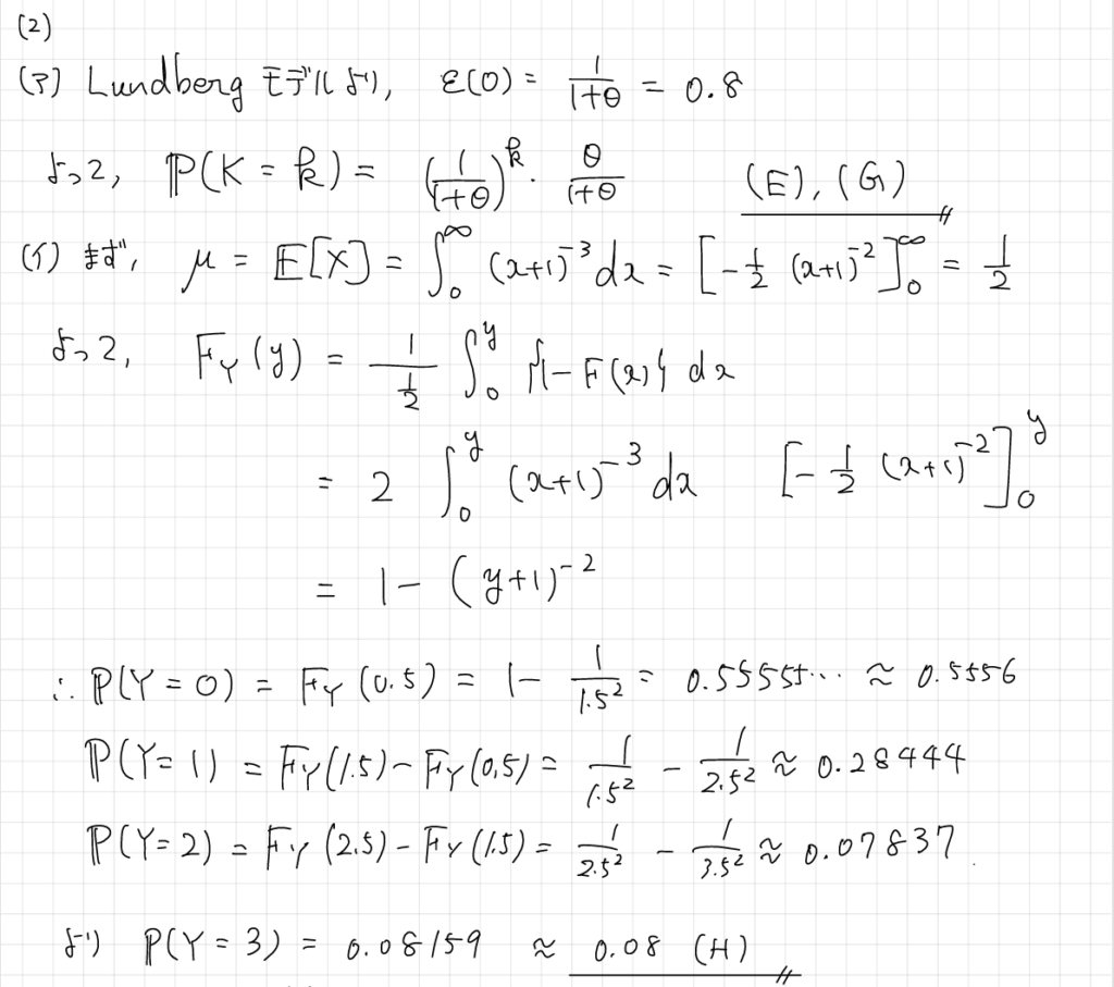
問題2-(1)
問題


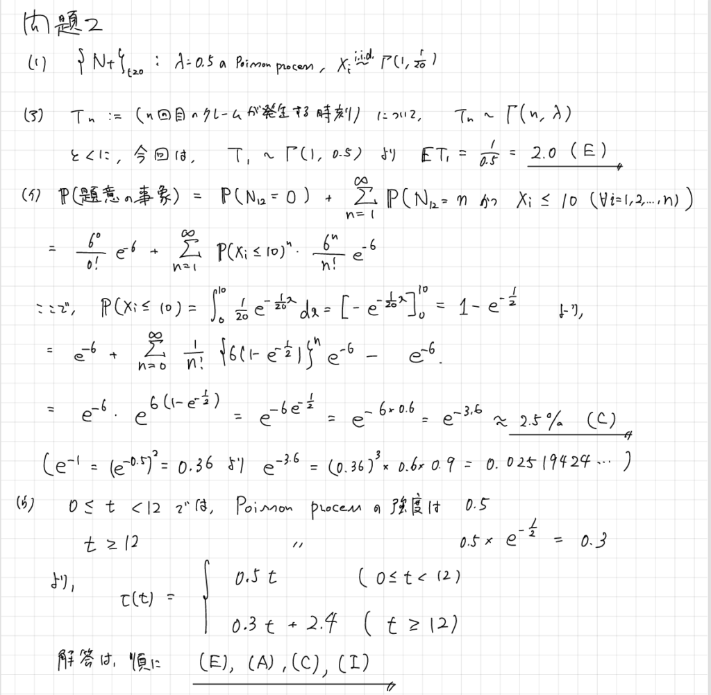
解答例
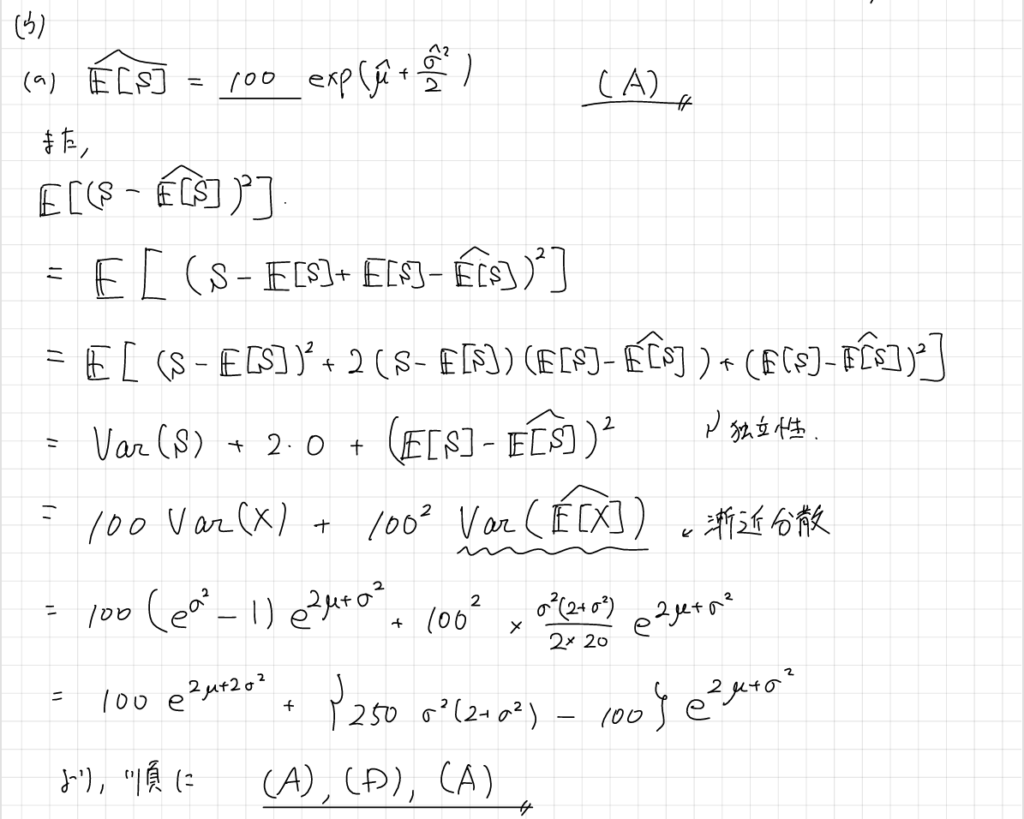
問題2-(2)
問題
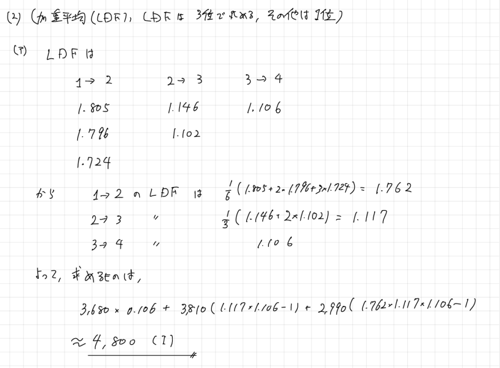
解答例
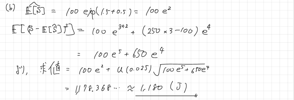
問題2-(3)
問題
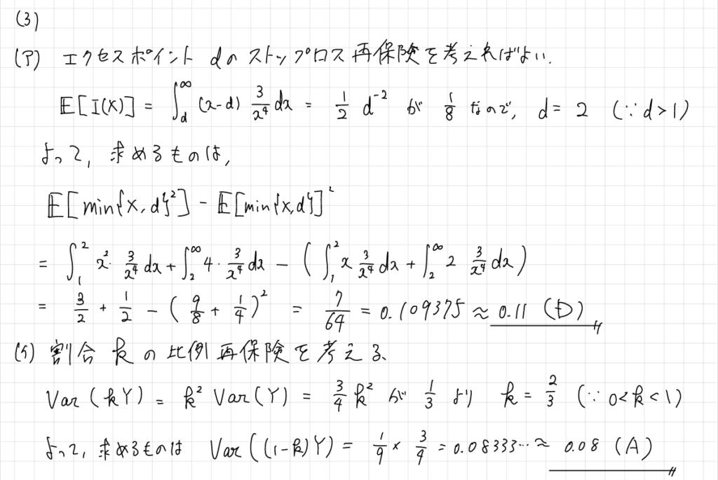
解答例
問題2-(4)
問題
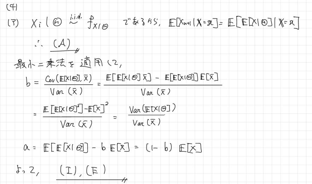
解答例
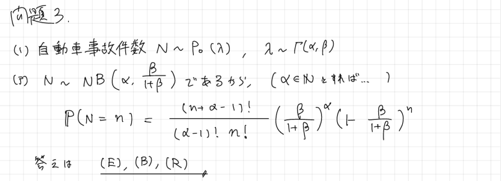
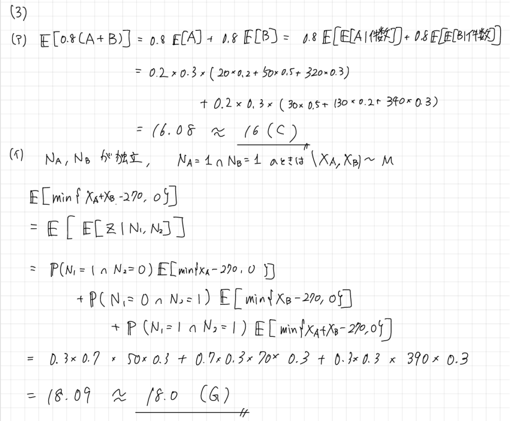
問題3-(1)
問題
解答例
問題3-(2)
問題
解答例
問題3-(3)
問題
解答例
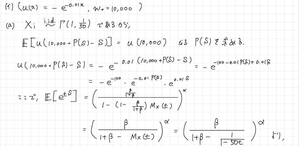
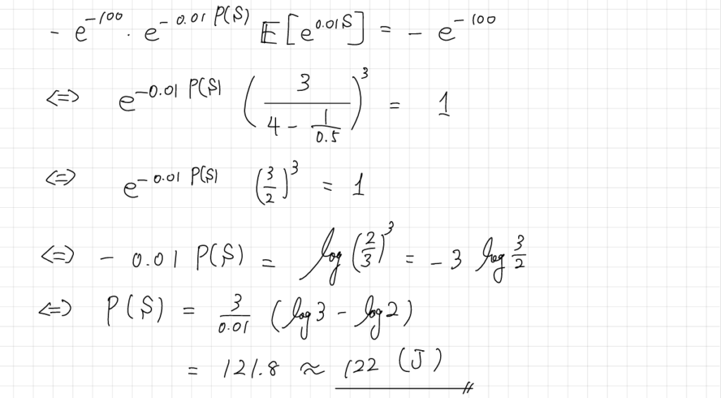
問題3-(4)
問題
解答例
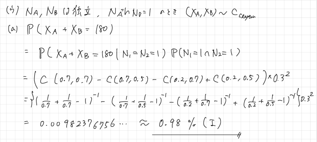
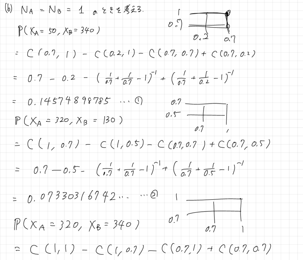
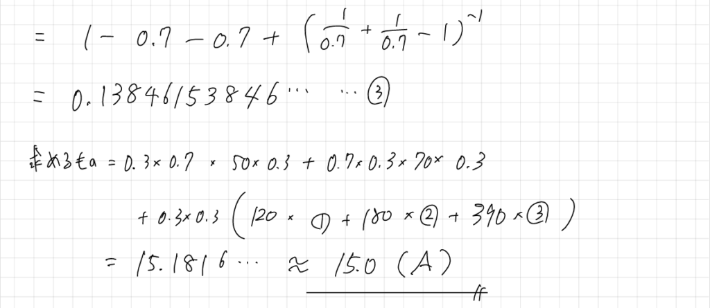
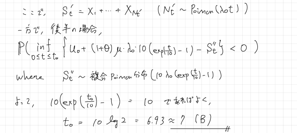
問題3-(5)
問題
解答例
一言
前半部分は例年通りであり,サクサク解ける.
問題3の(3)以降の後半部分はかなり計算量が多く,簡単には解き切ることは難しいように思えた.
一次試験の数学の理解度が十分にあれば後半は計算が面倒なだけで方針は簡単にたつと思うので,難しすぎることはない例年程度の難易度だったと考えられる.
もし、「自分で勉強を継続するのが苦手」「たくさん質問をしたい」「複数科目に一気に受かりたい」という人は、アクチュアリー育成塾の試験対策を覗いてみてください。弊塾では、正会員によるマンツーマン指導を通して、効率的な学習のサポートを行っていますので、合格に最短・最速で近づくことができます。
来年の受験に向けて話を聞いてみたいというだけでも構いませんので、お気軽に無料相談にお越しください。
































































コメント