
2025年度の生保数理の解答速報です。

問題については、日本アクチュアリー会のサイトから引用させていただいております。
生保数理
※本解答速報は、試験問題に対する参考解答を提供するものであり、公式解答ではありません。正確な解答は、日本アクチュアリー会が発表する公式情報をご確認ください。
本情報の作成には細心の注意を払っておりますが、誤りが含まれる可能性があります。本速報を利用することで生じるいかなる結果についても、当方は責任を負いかねます。
間違えている箇所がございましたら、以下のフォームよりご連絡ください。
<解答速報の修正・誤植のご指摘はこちら>
https://docs.google.com/forms/d/e/1FAIpQLSfMHRNv04jQCeCpwKwtYm0k6e1bsNb23Hw7X4GHggitz-0xtg/viewform?usp=sharing&ouid=105148279218788588129
豆腐好き男 様に作成のご協力をいただきました。誠にありがとうございました!
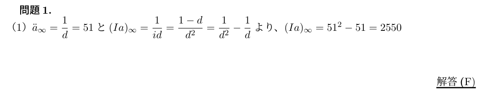
問題1ー(1)
問題
解答例
問題1-(2)
問題
解答例
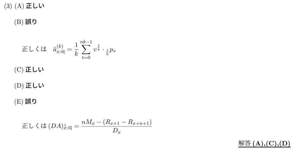
問題1-(3)
問題
解答例
問題1-(4)
問題
解答例
12/14 追記:最後の行の式変形を修正しました。
問題1-(5)
問題
解答例
問題1-(6)
問題
解答例
12/14(14:25) 追記:解答に一部ミスが見られたため修正いたしました。
12/14(15:19) 追記:解答を再修正いたしました。
問題2-(1)
問題
解答例
問題2-(2)
問題
解答例
問題2-(3)
問題
解答例
問題2-(4)
問題
解答例
問題2-(5)
問題
解答例
問題2-(6)
問題
解答例
問題2-(7)
問題
解答例
問題2-(8)
問題
解答例
問題3
問題
解答例
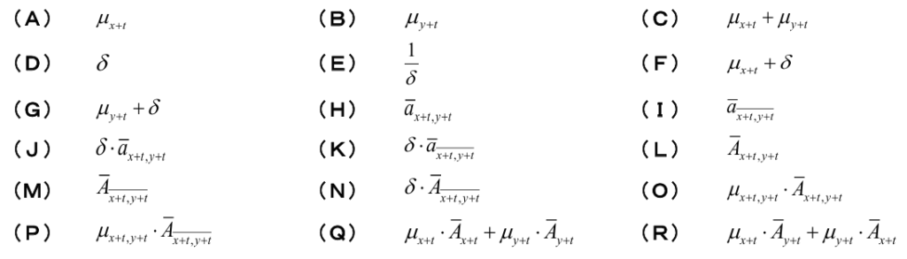
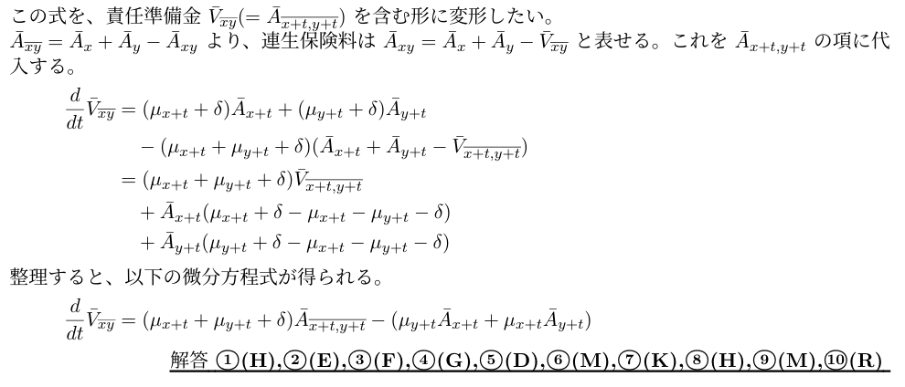
問題4
問題
解答例
一言
全体的に典型問題とそれに準ずるものが多かったようです。問題1~2は典型的で解きやすいものが多かったのですが、問題2(2)は条件が多く、関係式が乱立する負荷が大きい問題でした。また、問題2(6)は本番の緊張感と制限時間の中で正攻法で解こうとするのは大変なので、給付条件と金額から選択肢を絞って消去法的に解くのがベターかと思われます。問題3は記号が散らかってしまうので神経を使う問題でした。問題4はあまり見たことがないタイプかつ計算も重く、「年度末支払」を見落とすと芋づる式に点数を落としてしまうので最初の一手に丁寧さが求められます。問題3~4が計算にとられる時間に対して得られる点数が少ないので、いかに問題1~2を素早く正確に解けたかが要になってきそうです。
今回うまくいかなかったなという人は、一息ついたら、改めて勉強をしましょう。
もし、「自分で勉強を継続するのが苦手」「たくさん質問をしたい」「複数科目に一気に受かりたい」という人は、アクチュアリー育成塾の試験対策を覗いてみてください。弊塾では、正会員によるマンツーマン指導を通して、効率的な学習のサポートを行っていますので、合格に最短・最速で近づくことができます。
来年の受験に向けて話を聞いてみたいというだけでも構いませんので、お気軽に無料相談にお越しください。















































コメント